Trường Đại học Quốc tế Miền Đông thông báo về mức điểm sàn xét tuyển đại học đợt 1 vào Trường và mức quy đổi điểm xét tuyển giữa các tổ hợp xét tuyển, phương thức xét tuyển như sau:
1. Mức điểm sàn xét tuyển và quy đổi điểm xét tuyển tương đương giữa các phương thức xét tuyển:
|
STT |
Ngành đào tạo | Mã ngành | Mức điểm xét tuyển đối với PTXT kết quả học bạ lớp 12 THPT | Mức điểm xét tuyển đối với PTXT điểm thi tốt nghiệp THPT 2025 | Mức điểm xét tuyển đối với PTXT điểm thi ĐGNL – ĐHQG 2025 |
|
1 |
Quản trị kinh doanh | 7340101 | 18 | 15 | 600 |
|
2 |
Kinh tế | 7310101 | 18 | 15 | 600 |
|
3 |
Điều dưỡng | 7720301 | 19.5 | 17 | 600 |
|
4 |
Kỹ thuật điện | 7520201 | 18 | 15 | 600 |
|
5 |
Kỹ thuật điều khiển và tự động hóa | 7520216 | 18 | 15 | 600 |
|
6 |
Kỹ thuật cơ điện tử | 7520114 | 18 | 15 | 600 |
|
7 |
Kỹ thuật điện tử – viễn thông | 7520207 | 18 | 15 | 600 |
|
8 |
Kỹ thuật cơ khí | 7520103 | 18 | 15 | 600 |
|
9 |
Kỹ thuật phần mềm | 7480103 | 18 | 15 | 600 |
|
10 |
Mạng máy tính và truyền thông dữ liệu | 7480102 | 18 | 15 | 600 |
2. Bảng quy đổi điểm trúng tuyển giữa các phương thức xét tuyển:
Bảng 1. Bảng quy đổi điểm trúng tuyển theo bài thi ĐGNL của ĐHQG-HCM năm 2025 về điểm trúng tuyển theo điểm thi tốt nghiệp THPT năm 2025
| STT | Điểm bài thi đánh giá năng lực của ĐHQG – HCM (a < x <=b) | Điểm tổ hợp môn thi tốt nghiệp THPT (c < y <=d) |
| Khoảng 1 | 904 < x < = 1200 | 25.50 < y < = 30.00 |
| Khoảng 2 | 850 < x < = 904 | 23.75 < y < = 25.50 |
| Khoảng 3 | 804 < x < = 850 | 22 < y < = 23.75 |
| Khoảng 4 | 750 < x < = 804 | 20.50 < y < = 22 |
| Khoảng 5 | 702 < x < = 750 | 19.10 < y < = 20.50 |
| Khoảng 6 | 653 < x < = 702 | 17.60 < y < = 19.10 |
| Khoảng 7 | 600 < x < = 653 | 15.0 < y < = 17.60 |
Bảng 2: Bảng quy đổi điểm trúng tuyển tổ hợp môn học lớp 12 học bạ THPT về điểm trúng tuyển theo điểm thi tốt nghiệp THPT năm 2025:
| STT | Điểm tổ hợp môn học lớp 12 học bạ THPT (a < x <=b) | Điểm tổ hợp môn thi tốt nghiệp THPT (c < y <=d) |
| Khoảng 1 | 29 < x < = 30.00 | 26 < y < = 30.00 |
| Khoảng 2 | 27 < x < = 29 | 24 < y < = 26 |
| Khoảng 3 | 25 < x < = 27 | 22 < y < = 24 |
| Khoảng 4 | 23.10 < x < = 25 | 20.10 < y < = 22 |
| Khoảng 5 | 21.50 < x < = 23.10 | 18.50 < y < = 20.10 |
| Khoảng 6 | 19.70 < x < = 21.50 | 16.70 < y < = 18.50 |
| Khoảng 7 | 18 < x < = 19.70 | 15 < y < = 16.70 |
3. Hướng dẫn thí sinh quy đổi điểm giữa các phương thức:
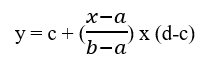
Áp dụng công thức nội suy tuyến tính và bảng quy đổi điểm theo Bảng 1, Bảng 2, tương đương với điểm thi tốt nghiệp THPT năm 2025, như sau:
Trong đó:
– x: là điểm của thí sinh (điểm tổ hợp môn học lớp 12 học bạ THPT, điểm thi ĐGNL-HCM năm 2025);
– a, b: là hai điểm mốc xác định khoảng điểm của thí sinh (a < x ≤ b);
– y: là điểm quy đổi tương đương điểm thi tốt nghiệp THPT năm 2025;
– c, d: là hai điểm mốc xác định khoảng điểm tốt nghiệp THPT năm 2025 tương ứng (c < y ≤ d).
Ví dụ: Thí sinh có điểm thi ĐGNL của ĐHQG-HCM năm 2025 là 860 điểm (Khoảng 2 của Bảng 1) thì điểm quy đổi được tính như sau:
x= 860; a= 850; b= 904; c= 23.75; d= 25.50
Áp dụng công thức nội suy tuyến tính, điểm thi ĐGNL của ĐHQG-HCM năm 2025 sau khi quy đổi sang điểm thi tốt nghiệp THPT năm 2025 được tính theo công thức:
Kết quả quy đổi điểm tương đương theo tổ hợp môn thi tốt nghiệp THPT 2025 của thí sinh là: 24.07 điểm (Điểm quy đổi được làm tròn đến 2 số thập phân)
4. Thời gian thí sinh đăng ký nguyện vọng:
Thí sinh thực hiện đăng ký nguyện vọng xét tuyển bằng hình thức trực tuyến theo quy định của Bộ: Từ ngày 16/07/2025 đến 17h00 ngày 28/07/2025.
5. Thời gian công bố kết quả trúng tuyển:
Trường Đại học Quốc tế Miền Đông sẽ công bố kết quả trúng tuyển trước 17h00 ngày 22/8/2025 trên trang thông tin tuyển sinh của Trường: www.eiu.edu.vn.
6. Thời gian thí sinh xác nhận nhập học:
Thí sinh trúng tuyển đợt 1 phải thực hiện xác nhận nhập học trực tuyến trên hệ thống của Bộ và nộp hồ sơ nhập học về Trường Đại học Quốc tế Miền Đông.
Thời gian thực hiện xác nhận nhập học trực tuyến đợt 1 trên hệ thống: trước 17h00 ngày 30/8/2025.
7. Thông tin liên hệ:
Phòng Đào tạo – Trường Đại học Quốc tế Miền Đông
81 Đường Nam Kỳ Khởi Nghĩa, Phường Bình Dương, Tp. Hồ Chí Minh
Điện thoại liên hệ: 0274 9999681
Email: tuyensinh@uat-web3.eiu.vn
Website: www.eiu.edu.vn

